2026筑波大【数学】解答速報

2026筑波大学の数学の解答速報をお届けします!
めぐろ塾の安田人員不足のため、一人で孤独にやっております(笑)
全体的に考え方は外してないと思うんですが、確認役がいないため、最終的な値には全く自信がありません(笑)ミスや致命的な間違いを見つけた方は、X(Twitter)のDM等でご指摘頂けますと幸いですm(_ _)m
既にご指摘頂いた方に、厚く御礼申し上げますm(_ _)m
筑波大の数学の特殊性



まず最初にこれをお話ししとかないといけないんですが…
筑波大の数学の入試では、
文系数学と理系数学が同じ冊子で配られる!
共通テスト↓
なんかと一緒です。ⅠAの受験者にもⅠの問題が配られるのと同様。
2021~2025の筑波大数学
| 全体大問数 | 〔1〕~〔6〕の6問 |
| 文系数学で解く大問 | 〔1〕~〔3〕から2問選択 |
| 理系数学で解く大問 | 〔1〕~〔3〕から2問選択、 〔4〕~〔6〕から2問選択、 計4問を解答 |
因みに、解く問題数が理系の半分にも関わらず…文系にも理系と同じ試験時間120分が与えられるようです…



確証なかったんですが、今年めぐろ塾の生徒が文系数学受験して、マジで理系と同じ120分だったそうです(笑)
文系生徒であれば、〔1〕~〔3〕を全て解いて、少しでも完答に近づける2問を解答用紙に清書するのが良いと思います。
本記事では〔1〕~〔6〕全ての解説・解答を記載し、どの問題を選択するべきだったか等を講評にまとめます。
〔1〕
問題


考え方
(1)は内分点公式を使うだけ。
(2)は、空間座標における「平面と直線の交点」なので、
\(\overrightarrow{\textrm{OS}}\) を「平面のベクトル方程式(2文字)」・「直線のベクトル方程式(1文字)」
で別々に表す
↓
成分を比較して、連立方程式
とする典型内容です。文字が多くなりますが、結果を \(r\) で表すので \(r\) が既知数扱いになることに注意して丁寧に計算しましょう。結果はそこそこキレイになります。
(3)は、ベクトルの三角形の面積公式を使って、ルートの中の2次関数の最小を考えるだけ。



昨年の〔1〕とは異なり、非常に穏やかな問題です。
解答




〔2〕
問題


考え方



チェビシェフ多項式についの問題ですが、そんなの知らんでええです(笑)
解くのに必要なのは、「数列」・「三角関数」・「整数」の知識だけ。
(1)・(2)共に、連立漸化式の係数を \(x_2\:,\:y_2\:,\:x_3\:,\:y_3\) の条件から確定するだけです。時短を考えると、解答のように(2)から解いてしまって、\(\theta=\displaystyle\frac{\pi}{2}\) を代入して(1)を片付けたいところ。
(3)は「帰納法」って言ってくれてますので(笑)
\(n=k+1\) のときの証明で、加法定理の逆利用が必要
になりますが、これは理系の人だと「極形式の積商の性質の証明」で慣れてると思います。文系の人も目標が分かってるので、これに気づくのは難しくないでしょう。
(4)はキレイに論証しようとすると、そこそこ三角関数の知識が重要になります。



僕は \(\sin\left(\displaystyle\frac{2m+1}{2}\pi\right)=(-1)^m\) とかやって解いちゃいましたし(笑)勝手に導いてるだけなので、これは公式とは認識しなくていいです。理系だと \(\cos m\pi=(-1)^m\) は覚えておいて欲しいですが。
\(\theta\) を求める処理が、若干複素数の極形式よりになるため、やはりここも理系の人が有利。
文系の人でこの問題をセレクトした場合は、(3)まで解けてれば及第点に思えます。
解答




〔3〕
問題


考え方
本校受験者に \(y=f(x)\) のグラフの概形を説明する必要はないでしょう(笑)(1)は、これを構成する2つの2次関数のグラフとの交点を求めちゃえば証明できちゃう問題です。
(2)の \(S_1\) は1/6公式使うだけですが、∫(上-下)dx→因数分解→公式使用の過程は記述しましょう。厳しい採点者だと、これが省かれてると減点してくるので。\(S_2\) の計算では、1/6公式の証明を意識し、解答のように、
\((x+a)\) 基準で \(x\) 軸との面積を2つ計算
↓
それらを台形から引く
とするのが一番カンタンで、直前の授業で扱った「めぐろ塾」↓的中!!!


- 日本全国どこからでも受講可能!
- 完全個別指導コースあり(オンラインも可)!
- 初回面談・初回授業は完全個別で無料(オンラインも可)!



初回面談は全て私めが個別に対応させて頂きますm(_ _)m
お気軽にお問い合わせください↓
電話番号からのお問い合わせの場合、授業や面接中で対応できない場合は折り返しご連絡させて頂きますので、留守番電話にご用件を残しておいて頂けると助かります(セールス・勧誘のお電話は固くお断り致します)。
頂いたお問い合わせへのリアクション以外で、こちらからご連絡することは一切ありません。安心してお問い合わせください。



その生徒は早稲田人科受かって祝勝ムードなので、この問題解けたか聞いてはなんですが(笑)
(2)さえクリアすれば、(3)は増減表を作って終わり。文系の人も、\(h'(a)\) の計算は解答のように \(h(a)\) を展開せずに片づけて欲しいところです。
解答




〔4〕
問題


考え方
(1)は見た目ムズく見えますが、ド・モアブル(極形式での商でもいいです)で絶対値の中を簡略化してから計算すれば、加法定理の逆利用で終了。



ってか〔2〕もこれだったからネタ被っとるやん(笑)
(2)は、(1)の誘導に従うと \(\cos\theta\) の2次関数の最大・最小になっちゃっうんでカンタン。
(3)も、(2)と同じ流れで \(\cos\) の2次関数にできちゃって拍子抜けなんですが、最後の偏角の比較で「\(+2n\pi\)」をつけて整数の個数を考える、ってとこに詰まっちゃった人はいるかも。「n乗根」で似たような処理は経験あると思うので、何とかクリアしてもらいたい。
解答




〔5〕
問題


考え方
(1)の \(A(t)\) の計算は簡単。理系であれば形を知ってる人も多いであろう、\(y=\displaystyle\frac{\log x}{x}\) と \(x\) 軸のグラフの作る面積なので、あえて \(\log x\) を中と見て合成関数の微分の逆を実行します。



あまりに有名すぎるので、めぐろ塾の積分計算のドリルに10問くらい入れてますね(笑)
(2)の \(B(t)\) の計算では…領域の判定に少し混乱すると思います。\(x\) と \(t\) の式の形が一緒になるので。
\(t\) の式の方が \(y\) の範囲(定義域)になる
↓
式の形が一緒になるのは、共有点の計算に利用
というように、冷静に \(t\) を定数と見た処理が必要になります。図示さえクリアすれば、\(B(t)\) は長方形+2つのグラフの囲む面積でカンタンに計算でき、\(\displaystyle\frac{B(t)}{A(t)}\) の値域も微分すらなしで求めることができます。



ところで…
図示で \(y\) の範囲を気にしまくるから…
\(y\) 軸積分したくなった人いませんか???



はーい!
……最初、ムダに色使って \(y\) 軸積分に引きずられまくった解答載せてたんですが……
講評打ってる間に気づきました…
ただの \(x\) 軸積分でええやん…
流石に見てる方を混乱させるクソ解答だったので、削除して解答は \(x\) 軸積分に打ち直しました。最初の解答で混乱させてしまった人がいたら申し訳ありませんm(_ _)m
解答




〔6〕
問題


考え方
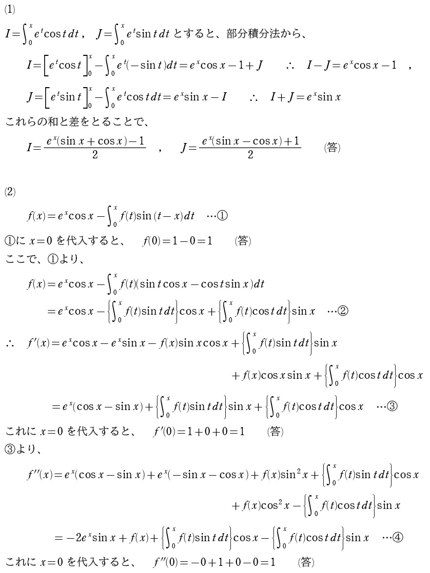
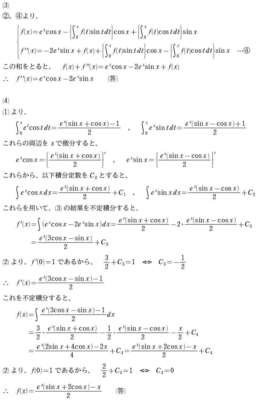
(1)は超典型問題。(指数関数)×(三角関数) の積分なので、部分積分2回です。



(2)以降は…
似たような問題の経験ある人なら読めると思うんですが…
よく分かんないけど、(2)の誘導に従ってとりあえず微分2回
↓
何か(3)の \(f^{\prime\prime}(x)\) が求まっちゃう
ってゆ~、誘導に従うと何かできちゃった~系問題です。\(f^{\prime\prime}(x)\) と \(f(x)\) の式の和をとると、積分が消えてくれて \(f^{\prime\prime}(x)\) が求まります。
(4)はそれを不定積分2回で \(f(x)\) 求めるだけなんですが…
積分では(1)を誘導とするが、これは定積分
↓
1回微分して、不定積分に書き直す



必要があり、この部分はそこそこ混乱しました…
ま~キレイな解答は目指さなくていいです。(1)の定数部分を無視して積分していれば、減点はないかと。
普段の筑波大の〔6〕に比べればカンタンなんですが、記述量は多く、易しい問題とは言えません。
解答




講評
2025の解説記事↓


も作成しましたが、これと比べると…
| 解答方式 | 試験時間 | 大問数 | 難易度 |
|---|---|---|---|
| 記述式 | 120分 | 文系2問・理系4問 | やや易化 |
でしょう。昨年の〔1〕のようなヤバい問題もなく、理系専用範囲も少し穏やかになった印象です。
冒頭で述べた通り、筑波大数学では文系も理系も解く問題を選べるわけですが、一般目線で言うと2025は…
| 大問番号 | 出題範囲 | 解くべき問題 |
|---|---|---|
| 〔1〕~〔3〕 | 文理共通範囲 | 〔1〕・〔3〕 |
| 〔4〕~〔6〕 | 理系専用範囲 | 〔4〕・〔5〕 |
だったかと思います。文系の人だと3問に120分かけられるので、〔2〕を選んじゃっても大丈夫だったと思うんですが…理系の人で〔2〕や〔6〕をセレクトしちゃうと記述量で時間を喰われちゃうかと。
ま~でも理系の人も1問30分は使えますし…
医学部医学科だと8~9割ベースの勝負
になるでしょう…お医者さんになるってホントに大変…
今回の記事に関しての質問や、ミスを見つけた場合のクレーム(笑)めぐろ塾へのお問い合わせはこちら↓からお気軽にどうぞ!


- 日本全国どこからでも受講可能!
- 完全個別指導コースあり(オンラインも可)!
- 初回面談・初回授業は完全個別で無料(オンラインも可)!



初回面談は全て私めが個別に対応させて頂きますm(_ _)m
お気軽にお問い合わせください↓
電話番号からのお問い合わせの場合、授業や面接中で対応できない場合は折り返しご連絡させて頂きますので、留守番電話にご用件を残しておいて頂けると助かります(セールス・勧誘のお電話は固くお断り致します)。
頂いたお問い合わせへのリアクション以外で、こちらからご連絡することは一切ありません。安心してお問い合わせください。
君の大学受験が最高の結果になることを祈ってます!






解答速報-1.jpg)



