2026共通テスト数学ⅡBC解説

2026大学入学共通テスト数学ⅡBCの解説を速報します!数学ⅠAについては↓の記事をご覧くださいm(_ _)m

第1問(必答問題15点)
問題(クリックすると表示されます)






解答


第2問(必答問題15点)
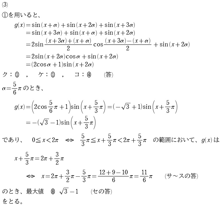
問題(クリックすると表示されます)





解答


第3問(必答問題22点)
問題(クリックすると表示されます)






解答


第4問(選択問題16点)
問題(クリックすると表示されます)





解答


第5問(選択問題16点)
問題(クリックすると表示されます)






解答


第6問(選択問題16点)
問題(クリックすると表示されます)





解答


第7問(選択問題16点)
問題(クリックすると表示されます)






解答


講評

めぐろ塾の安田昨年2025も速報を行いました↑が…
これと比べると…
| 解答方式 | 試験時間 | 大問数 | 難易度 |
|---|---|---|---|
| マーク式 | 70分 | 6問 (第4~7問は、3問を選択して解答) | 変化なし |
だと思います。昨年2025と同じく凄いカンタンでした。打ち込む前に時間内で解きましたが…
深夜3時から始めて…
和積公式で3回計算ミスって…
数列の最後で1回計算ミスって…



の計算力じじいの僕が60分で7問解き終わったので。
めぐろ塾↓


- 日本全国どこからでも受講可能!
- 完全個別指導コースあり(オンラインも可)!
- 初回面談・初回授業は完全個別で無料(オンラインも可)!



初回面談は全て私めが個別に対応させて頂きますm(_ _)m
お気軽にお問い合わせください↓
電話番号からのお問い合わせの場合、授業や面接中で対応できない場合は折り返しご連絡させて頂きますので、留守番電話にご用件を残しておいて頂けると助かります(セールス・勧誘のお電話は固くお断り致します)。
頂いたお問い合わせへのリアクション以外で、こちらからご連絡することは一切ありません。安心してお問い合わせください。
では、
| 文系?理系? | 選択問題のセレクト |
|---|---|
| 文系生徒 | 第4・5・6問を解くしかない |
| 理系生徒 | 第4・6・7問を解くのがオススメ |
と指導しているんですが、正直理系生徒でもどれをセレクトしても大差なかったと思います。
第1問



最初三角関数じゃないのか…
2026の共テ模試は、どこも結構2025の本試から構成をいじってたんですが、それと同様になりました。
でもネタ的には円と領域の問題でカンタンです。共通弦の誘導ついてるんですが、僕は再前半で共通弦を意識して解いちゃったので、解答もそんな感じでいかせて頂いてます。
第2問
ここで三角関数、2023のⅡBでも出てた和積公式がメインの内容です。



共テは和積好きですね(笑)和積とか積和苦手な人はこの記事↓を参照のこと。


僕は疲れてたんで最後3回計算ミスしたんですが…
君らは若いから1回で当てましょう(笑)
第3問
グラフと求積。全体的に読み取りがメインで、計算は等積条件のとこぐらいです。誘導ついてますが、定積分を2つ計算せず、1つに結合してから計算しましょう。



やはり僕は疲れてたんでミスりましたが、若い君らはミスっちゃダメ(笑)
第4問
ここからは選択問題なんで、構成はいつもと一緒。第4問は数列です。
階差数列だからすぐに公式使いたいところなのに…
\(b_1\) とか \(a_2\) とか \(b_2\) とか \(a_3\) とか問われててマジうざいですね…
イライラせずに計算してください。
(3)の \(c_n\) の目標式設定ができなかった人は意外と多そうに感じます。めぐろ塾↓


- 日本全国どこからでも受講可能!
- 完全個別指導コースあり(オンラインも可)!
- 初回面談・初回授業は完全個別で無料(オンラインも可)!



初回面談は全て私めが個別に対応させて頂きますm(_ _)m
お気軽にお問い合わせください↓
電話番号からのお問い合わせの場合、授業や面接中で対応できない場合は折り返しご連絡させて頂きますので、留守番電話にご用件を残しておいて頂けると助かります(セールス・勧誘のお電話は固くお断り致します)。
頂いたお問い合わせへのリアクション以外で、こちらからご連絡することは一切ありません。安心してお問い合わせください。



では2次式設定もテキストに組み込んでるんですが…
君がそ~ゆ~授業を受けていることを祈りますm(_ _)m
第5問
いつも通り、確率分布と統計的な推測。文系生徒はこれを解くしかないんですが…
去年以上に、解答枠周辺だけ読んでれば解ける出題なんで解きやすかったでしょう。



因みに、解答ではベルヌーイ分布を用いての標本平均の導出(「ウ」・「エ」の空欄のとこ)もある程度記述しておきましたが、公式なんで覚えててガシガシ埋めちゃうのが正解です。
第6問
いつも通り、ベクトル。平面題材で、最後まで非常に穏やかです。計算もほぼほぼないってレベルです。



ただ…最後がベクトル方程式…
苦手にしてる受験生多いですよね…
ただ、めぐろ塾のテキストの一番最初に入れてるようなカンタン問題なので、何とか最後まで完答してもらいたい!
第7問
去年と同じく複素数平面、かつ最後に2次曲線も少し絡む内容でした。2025で上位校でメッチャ出題された、



\(z\) が円上、かつ変換の式 \(f(z)=●z+\displaystyle\frac{▲}{z}\) のときは\(z\) を極形式でおく!
って処理なんですが、問題文で極形式を導入してくれてるんで、経験がなくてもなんとかなる問題ではあります。
(3)は、
- (2)の結果を利用させる
- 複素数平面での平行移動
- 虚軸との位置関係で相加相乗平均の意識がいる
って良問。
全体的に計算量が少なく、類問の経験があったかどうかが大事な問題だったように思えます。
総評
ⅠAは少し難化に感じましたが、ⅡBは去年通り…



設問数が多い分、去年と同様にカンタンにした印象です。
ってか正直式を選択肢形式で穴埋めるところが多すぎて、解答形式にめちゃくちゃイライラしました。この流れが今後も続くんだと…イヤですね…
あと、必答問題の構成が変わって、指数対数関数が出題されなかったのも気になるところです。来年は三角関数が出題されず、指数対数関数が出題されるって形になるかもしれません。昔はどっちかしか出ないって構成も多かったので。
因みに、カンタンカンタンって言ってきたプロ講師=めぐろ塾の安田=私めの出来は…
- 第1問の最後の領域をテキト―に選択してミス… -2点
- 第3問の等積条件での通分ミス -2点
で96点…



時間内で116点分解いたからホントは112点なんだよっ!!!
って言い訳するような恥ずかしい大人に皆さんがならないよう、めぐろ塾よりお祈り申し上げます(笑)
そして…
もう共テのことは忘れて私大に向けて勉強だっ!!



僕も解答速報で君たちと一緒に戦います(笑)
なお、本年も速報性を重視した記事にさせて頂きました。この記事を見ている高2生とかで、共テの詳しいテクニックとかを知りたい人は2023のⅠAの記事↓をご参照ください。第1問→第2問→第5問→第3問の順で解けば、現行課程の対策にもなります。


また、今回の記事に関しての質問や、ミスを見つけた場合のクレーム(笑)めぐろ塾へのお問い合わせはこちら↓からお気軽にどうぞ!


- 日本全国どこからでも受講可能!
- 完全個別指導コースあり(オンラインも可)!
- 初回面談・初回授業は完全個別で無料(オンラインも可)!



初回面談は全て私めが個別に対応させて頂きますm(_ _)m
お気軽にお問い合わせください↓
電話番号からのお問い合わせの場合、授業や面接中で対応できない場合は折り返しご連絡させて頂きますので、留守番電話にご用件を残しておいて頂けると助かります(セールス・勧誘のお電話は固くお断り致します)。
頂いたお問い合わせへのリアクション以外で、こちらからご連絡することは一切ありません。安心してお問い合わせください。
君の大学受験が最高の結果になることを祈ってます!








解答速報-1.jpg)