2026一橋大【数学】解答速報

2026一橋大学の数学の解答速報をお届けします!
めぐろ塾の安田人員不足のため、一人で孤独にやっております(笑)
ミスを見つけた方は、X(Twitter)のDM等でご指摘頂けますと幸いですm(_ _)m
1
問題


考え方



最初はいつも通り整数問題ですが…
去年に比べてかなりカンタンです。絶対値を外せば、2変数2次不定方程式の整数解を求めるってゆ~典型問題になるので。
因みに解答の場合分け(Ⅰ)のケースは平方完成からの整数値相手の因数分解の方がキレイな解答になると思いますが、2変数2次不定方程式見たら解の公式でゴリ押すって決めてるので、それで解かせて頂きました、悪しからずご了承ください。
答の個数がかなり多いので、計算ミスが怖い問題です。ミスったときのために丁寧な記述を心がけ、部分点は確保できる解答にしましょう。
解答


2
問題


考え方


- 日本全国どこからでも受講可能!
- 完全個別指導コースあり(オンラインも可)!
- 初回面談・初回授業は完全個別で無料(オンラインも可)!



初回面談は全て私めが個別に対応させて頂きますm(_ _)m
お気軽にお問い合わせください↓
電話番号からのお問い合わせの場合、授業や面接中で対応できない場合は折り返しご連絡させて頂きますので、留守番電話にご用件を残しておいて頂けると助かります(セールス・勧誘のお電話は固くお断り致します)。
頂いたお問い合わせへのリアクション以外で、こちらからご連絡することは一切ありません。安心してお問い合わせください。
めぐろ塾↑のフローチャート↓


のC:③→Dっていくだけです。



\(a_{n+1}\) と \(a_n\) の次数が違うときは \(\log\) とれぇえええええええええええええええええええー!!!
って生徒に洗脳してる「めぐろ塾」、的中!
…って、こんな典型内容当てても嬉しくない。今年めぐろ塾の生徒は一橋受けてないし(笑)
ま~本校受験者でこの問題に苦しむ人はあまりいないと思いますが、
- 底を10で(常用対数)をとる
- 常用対数の値は与えられてないので、\(\log_{10}2\) に統一
- \(a_n\) を求めるのが目的でないので、\(a_n≧10^{2026}\) にも常用対数をとって、\(b_n=\log_{10}a_n\) で考えること
等に注意して、丁寧に解答しましょう。因みに、解答のように、
\((-1)^n\) の項に関しては…
↓
最小値の選定に影響を及ぼさないくらい小さい値
であることは断った方が良いでしょう。絶対値が1にもならないくらいの幅、かつ2の累乗の幅が大きすぎるので、最小値の選定には全く影響しません。
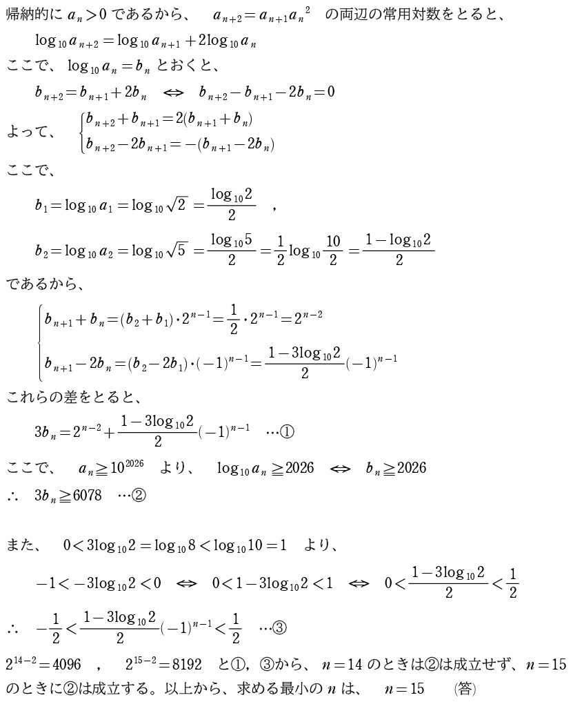
解答


3
問題


考え方
めぐろ塾の授業では軽く扱うんですが、
3次関数 \(f(x)\) の極大値と極小値の差
↓
\(f(\beta)-f(\alpha)=\displaystyle\int_{\alpha}^{\beta}f'(x)dx\) とすれば…
↓
\(\displaystyle\int_{\alpha}^{\beta}(x-\alpha)(x-\beta)dx=-\displaystyle\frac{1}{6}(\beta-\alpha)^3\) が使える!
とゆ~、そこまで頻出じゃないけど、有名な内容にフォーカスした問題。知ってると解答のようにホント瞬殺…



でも…知らなかった人は展開してガシガシ計算してもいい、答は当ててください!!!
試験時間長いし…
\(f'(x)\) を展開して根性計算しても、大した計算量じゃありません。
解答


4
問題


考え方



まだあるかも…覚えてるだけでこれくらい出てる…
立方体を平面で切断する
↓
長方形の辺の延長と平面の交点を考えれば…
↓
(僕みたいな)立体ニガテな人でも図でできる!
って問題で…
空間系はベクトルでゴリ押すって決めちゃってる人は沼にハマっちゃう問題です。
ま~でも、交点の座標がかなりカンタンなので、最初ベクトル使っちゃった人も軌道修正はしやすいでしょう。長方形の延長も \(x\:,\:y\:,\:z\) 軸ですし。
でも空間に拒否反応起こす受験生は多いので、受験者の出来は悪そう。これ完答してた人はかなり有利になるんじゃないでしょうか?
解答


5
問題


考え方



面白い問題でした!
ひもの端のグループ分け問題と考えます。解答のように、端に番号つけとくといいと思います。
- 分母は、「区別あり」→「区別なし」のグループ分けなので、「(同数グループの数)!で割る」
- 絶対に輪が1つは作れることを意識する
- 最後はもちろん余事象も使う
ってことで、典型が複合された良問です。なんかどっかで似たような問題解いたことある気もするんですが…



歳なので、鮮明には思い出せません(笑)
初見の人でも、「端に番号つける」・「グループ分け問題」って認識が持てていれば、実験で状況を把握できると思います。僕も実験しましたし(笑)
計算ミスを考慮しても、\(N=4\:,\:1\:,\:3\) の2つくらいは当てて欲しい問題です。
解答




講評
去年2025の解答速報↓


も行いましたが、それと比べると…
| 解答方式 | 試験時間 | 大問数 | 難易度 |
|---|---|---|---|
| 記述式 | 120分 | 5問 | 易化 |
です。サービス問題がほぼなかった昨年2025に比べ、穏やかな問題が並びました。
2と3の完答はマストなテスト!
に思えます。この2題の難易度はかなり低いので。ここさえ確保してれば、後は部分点の拾い集めでも何とか戦えるでしょう。
でも…
1完もできなかったぁああああああああああああああああああああああああああああああああああああー!!!
って人も希望は捨てちゃダメ!



法学部とか社会学部とかみたいに数学配点低い学部であれば、0完でも部分点を拾えてればワンチャンある!希望は捨てるなっ!!
受験最後半の国公立前期も終了しました。これで受験終わりって人は、本当に1年間お疲れ様!どんな結果になっても君の1年間の頑張りは素敵♪
国公立後期を受ける人は、ちょっと休んだらそれに向けた勉強頑張って!



僕はこれから旧帝大の解答書きます…
後期を受ける人、安心してください…
苦しむのは君だけじゃない(笑)
今回の記事に関しての質問や、ミスを見つけた場合のクレーム(笑)めぐろ塾へのお問い合わせはこちら↓からお気軽にどうぞ!


- 日本全国どこからでも受講可能!
- 完全個別指導コースあり(オンラインも可)!
- 初回面談・初回授業は完全個別で無料(オンラインも可)!



初回面談は全て私めが個別に対応させて頂きますm(_ _)m
お気軽にお問い合わせください↓
電話番号からのお問い合わせの場合、授業や面接中で対応できない場合は折り返しご連絡させて頂きますので、留守番電話にご用件を残しておいて頂けると助かります(セールス・勧誘のお電話は固くお断り致します)。
頂いたお問い合わせへのリアクション以外で、こちらからご連絡することは一切ありません。安心してお問い合わせください。
君の大学受験が最高の結果になることを祈ってます!






解答速報-1.jpg)

