2026東北大【理系数学】解説・解答・講評

2026東北大学の理系数学の解説・解答・講評をお届けします!
目次
1
問題

考え方
解答

2
問題

考え方
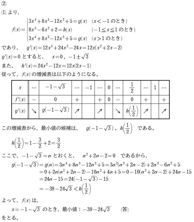
解答

3
問題

考え方
解答


4
問題

考え方
解答


5
問題

考え方
解答



6
問題

考え方
解答

講評
昨年2025の解説記事も作成しましたが↓
あわせて読みたい


2025東北大【理系数学】解答速報
2025東北大学の理系数学の解答速報をお届けします! 理系数学については↓の記事をご覧くださいm(_ _)m 1 問題 考え方 長ったらしい表現で試行が説明されていますが… 結…
これと比べると…
| 解答方式 | 試験時間 | 大問数 | 難易度 |
|---|---|---|---|
| 記述式 | 150分 | 6問 | やや難化 |
だと思います。サービス問題が2問だけだった去年2024に対し、1~4がサービス問題、5も大してムズくないって構成だったので。
最後だけが難しかった2023と非常に似た構成に戻りました。
1~4をどれだけしっかり完答できたかが勝負のテスト!
だったでしょう。1問程度落としちゃってても、5(1)・(2)や6(1)が拾えてれば十分に戦えると思います。
めぐろ塾の安田記事を上げるのが大分遅くなってしまい、執筆時点3/17では国公立後期試験が終了しています。
受験生の皆さん、本当に一年間お疲れ様でしたm(_ _)m
どんな結果であろうと、一年間頑張った君は素敵♪
胸を張れっ!!!
今回の記事に関しての質問や、ミスを見つけた場合のクレーム(笑)めぐろ塾へのお問い合わせはこちら↓からお気軽にどうぞ!


- 日本全国どこからでも受講可能!
- 完全個別指導コースあり(オンラインも可)!
- 初回面談・初回授業は完全個別で無料(オンラインも可)!



初回面談は全て私めが個別に対応させて頂きますm(_ _)m
お気軽にお問い合わせください↓
電話番号からのお問い合わせの場合、授業や面接中で対応できない場合は折り返しご連絡させて頂きますので、留守番電話にご用件を残しておいて頂けると助かります(セールス・勧誘のお電話は固くお断り致します)。
頂いたお問い合わせへのリアクション以外で、こちらからご連絡することは一切ありません。安心してお問い合わせください。
君の大学受験が最高の結果になることを祈ってます!







解答速報-1.jpg)
