2026北大【理系数学】解説・解答・講評

2026北大【理系数学】解説・解答・講評

2026北海道大学の理系数学の解説・解答・講評をお届けします!

目次

問題

1問題

考え方

与漸化式は、

\(a_{n+1}(a_n+1)=2\) ⇔ \(a_{n+1}=\displaystyle\frac{2}{a_n+1}\)

と変形できるので、結局1次分数型の漸化式を解くだけの問題

めぐろ塾の安田

この記事のここで書いてる、③の誘導がついている感じです。紳士協定通り(笑)
当然めぐろ塾↓

看板
  • 日本全国どこからでも受講可能!
  • 完全個別指導コースあり(オンラインも可)!
  • 初回面談・初回授業は完全個別で無料(オンラインも可)!
めぐろ塾の安田

初回面談は全て私めが個別に対応させて頂きますm(_ _)m
お気軽にお問い合わせください↓

03-6841-7626

電話番号からのお問い合わせの場合、授業や面接中で対応できない場合は折り返しご連絡させて頂きますので、留守番電話にご用件を残しておいて頂けると助かります(セールス・勧誘のお電話は固くお断り致します)。

頂いたお問い合わせへのリアクション以外で、こちらからご連絡することは一切ありません。安心してお問い合わせください。

X(Twitter)のDMからのお問い合わせ

の授業でもこの誘導については扱ってますし、本校受験者であれば経験はあるでしょう。

(1)は、\(a_n=-2\) ってすると初項も \(a_1=-2\) になっちゃう、って感じで背理法で示すだけ。因みにこれは(2)の \(b_n\) が定義できる(分母が0にならない)ことの誘導なので、(2)開始時に解答のようにお礼言っておくと印象はいいと思います(笑)

(2)は、\(b_n=\displaystyle\frac{1}{a_n+2}\) を \(a_n=(b_n\:の式)\) の形にし、\(a_n\) の漸化式に代入して \(a_n\) を消去すれば良いでしょう。

(2)で立式した \(b_n\) の漸化式は単純な特性方程式利用のタイプになるので、(3)ではこれを解いて \(b_n\) を求め、そこから \(a_n\) を求めるだけ。

めぐろ塾の安田

非常に穏やかな問題。計算ミスに気をつけましょう。

解答

1解答

問題

2問題

考え方

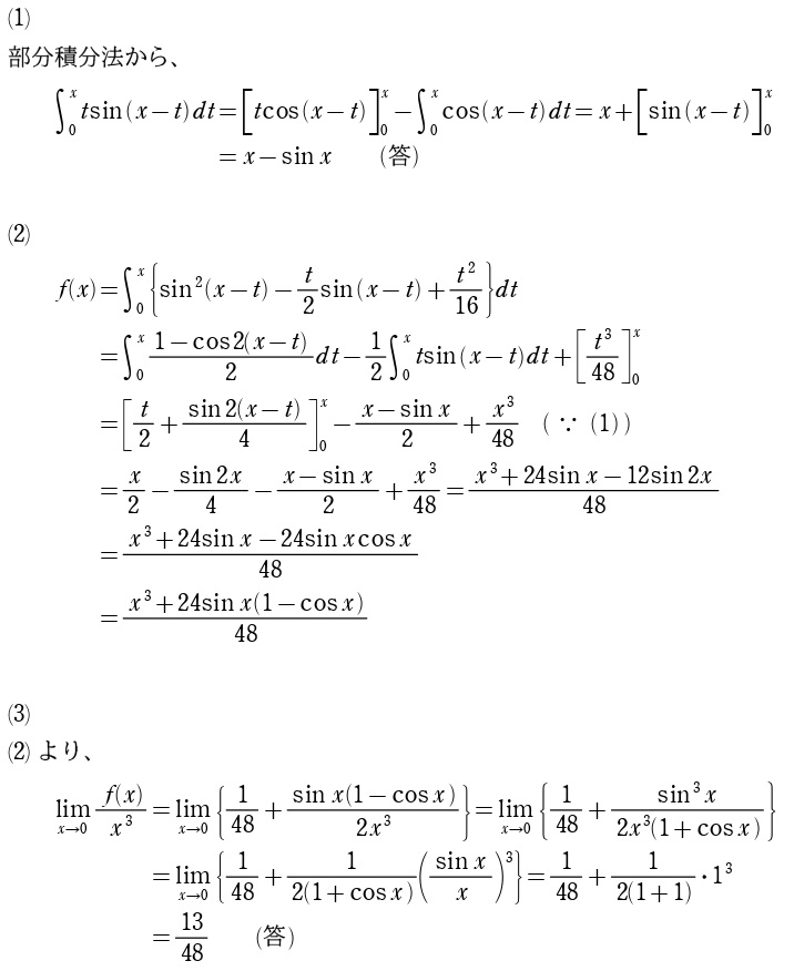
(1)は部分積分しとくだけ。

(2)は、(1)の結果も利用して積分計算するだけ。

(3)は、(2)の結果を利用して極限計算するだけ。

三角関数の不定形処理で、\(1-\cos\) を見たら…

分子・分母に \(1+\cos\) をかける

ってのは常識として、この問題では、

それを見越し、\(1-\cos\) を作る

ってとこも必要になりますが…

めぐろ塾の安田

本校受験者であれば定型化されている内容でしょう。計算量も少なく、非常に穏やかな問題です。

解答

2解答

問題

3問題

考え方

(1)と(2)に関連性はありません。

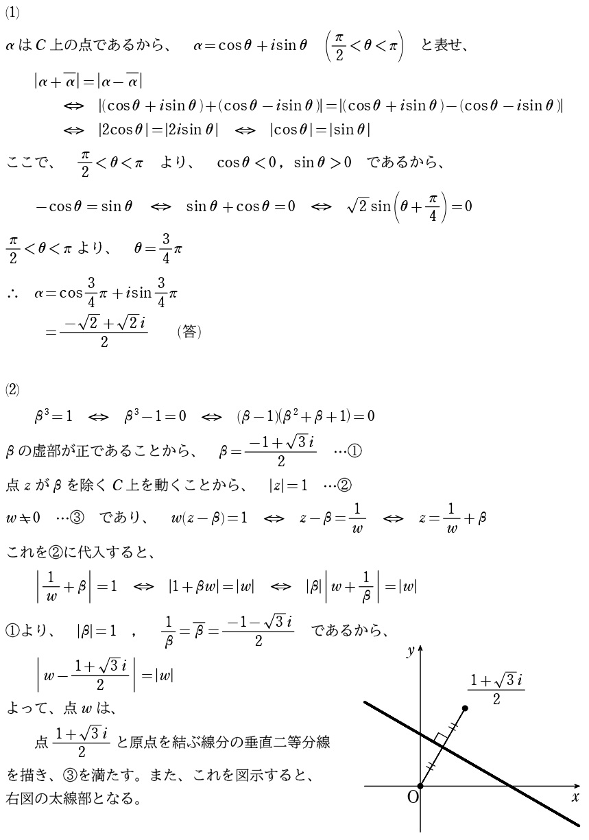
(1)は \(\alpha\) を極形式で表して与式に代入すれば、三角方程式の問題になって終了。

(2)は、めぐろ塾では「複素数の写像」って呼んでる超典型問題。\(\beta\) を求め(ただの \(\omega\) です)、\(z=(w\:の式)\) の形に変形して、\(|z|=1\) に代入するだけです。

めぐろ塾の安田

計算量も少なく、非常に穏やかな問題。

解答

3解答

問題

4問題

考え方

(1)は、平面と有名軸の交点を求める問題なので、

平面CPQを、平面のベクトル方程式で立式

2つの座標成分を0にする

だけです。

(2)は、四面体OABCの頂点A・B・Cが全て \(x\:,\:y\:,\:z\) 軸上なので、底面は直角三角形、高さもすぐに分かってしまい、クソ簡単。

(3)は、微分+増減表。

めぐろ塾の安田

やはりこれも非常に穏やかな問題。

解答

4解答①
4解答②

問題

5問題

考え方

(1)は余事象の利用です。3と5以外の目が1回以下になる確率を引くだけ。

めぐろ塾の安田

(2)はそこそこ大変でした。最後にどれが起きるかで排反分けとかも考えてみたんですが…

結局数えてしまった方が良い問題だと思います。

因みに解答では、試行回数が3になる場合も直接計算してるんですが、これは余事象で計算するのがベストです。

めぐろ塾の安田

数え漏れが心配だったので、直接計算して和が1になることを確認させて頂きました。悪しからずご了承くださいm(_ _)m

解答

5解答①
5解答②

講評

昨年2025は解答速報を行いましたが↓

これと比べると…

解答方式試験時間大問数難易度
記述式120分5問やや易化

です。

2023の4のような難問はなく、2024・2025と同じく穏やかな構成。

昨年2025は2とか5とかみたいに少し変な問題があった

今年2026は全てドストレートな問題だった

ので、「やや易化」が妥当かと思います。

全体的に、どれだけ計算ミスを減らせるかが勝負のテスト

だったんではないでしょうか?

めぐろ塾の安田

医学部医学科だと9割ベースの勝負になっちゃう気が…
可哀想…

今回の記事に関しての質問や、ミスを見つけた場合のクレーム(笑)めぐろ塾へのお問い合わせはこちら↓からお気軽にどうぞ!

看板
  • 日本全国どこからでも受講可能!
  • 完全個別指導コースあり(オンラインも可)!
  • 初回面談・初回授業は完全個別で無料(オンラインも可)!
めぐろ塾の安田

初回面談は全て私めが個別に対応させて頂きますm(_ _)m
お気軽にお問い合わせください↓

03-6841-7626

電話番号からのお問い合わせの場合、授業や面接中で対応できない場合は折り返しご連絡させて頂きますので、留守番電話にご用件を残しておいて頂けると助かります(セールス・勧誘のお電話は固くお断り致します)。

頂いたお問い合わせへのリアクション以外で、こちらからご連絡することは一切ありません。安心してお問い合わせください。

X(Twitter)のDMからのお問い合わせ

君の大学受験が最高の結果になることを祈ってます!

よかったらシェアしてね!
  • URLをコピーしました!
  • URLをコピーしました!

この記事を書いた人

早稲田大学理工学部機械工学科卒。

「武蔵小山駅」7分、「不動前駅」9分、攻玉社・小山台高校から徒歩圏内、日本全国どこからでも受講可能!

な、英数専門「めぐろ塾」で数学を教えています。

チューター等は介さず、高1~高卒までの全学年の数学を、責任を持って一人で指導しています。

目次