2026東京科学大【理工学系数学】(旧・東工大)解答速報
解答速報-1.jpg)
2026東京科学大学の理工学系(旧・東京工業大学)の数学の解答速報をお届けします!
めぐろ塾の安田人員不足のため、一人で孤独にやっております(笑)
ミスを見つけた方は、X(Twitter)のDM等でご指摘頂けますと幸いですm(_ _)m
既にご指摘頂いた方に、厚く御礼申し上げますm(_ _)m
1
問題


考え方



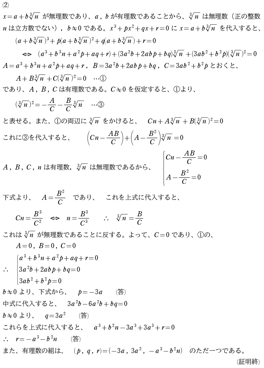
(1)は与方程式に \(x=a+b\sqrt[3]{n}\) を代入して、無理数部分とそれ以外を0とするだけ。
(2)も同じ流れでいくわけですが…僕は最初、「\(A\:,\:B\:,\:C\) が有理数で、\(A+B\sqrt[3]{n}+C(\sqrt[3]{n})^2=0\)」→「\((\sqrt[3]{n})^2\) が無理数を示せば、\(A=B=C=0\) じゃん」って解答を打ち込んで公開しておりました…
それだと違くないっすか~?
という数学強者の方からのご指摘で…
\(\sqrt[3]{n}\) と \((\sqrt[3]{n})^2\) が同じ種類の無理数を生む可能性を否定する必要がある
↓
これが、「無理数 \(p\:,\:q\:,\:r\) の組はただ一つに限る」こと(一意性)の証明のキモ
であることに気づかせて頂きました。お恥ずかしい…



しかも同じ方から、「\(C≠0\) で背理法」ってキラーパスも頂いてたのに…証明にかなり手間取りましたね…
このように、(3)の一意性の証明はかなりキツいです。\(p\:,\:q\:,\:r\) を求められてればオッケーでしょう。
解答




2
問題


考え方



(1)は、(2)・(3)でコンビネーションを使うってことのヒント設問。(2)・(3)と直接関係はありません。
(1)の最初の式は…「パスカルの三角形から当たり前!」ってしたい人もいると思いますが(笑)コンビネーションの定義式から証明しましょう。次の式は、これを使ってシグマの中に1項ずれの形を作っておけば、相殺で計算できます。区間の端の調整は必要ですが、本校受験者であればカンタンに対処できるでしょう。
(2)は…空間の問題に見えて…


不定方程式の整数解の個数で考えるとカンタン↑って授業してる「めぐろ塾」的中!!!


- 日本全国どこからでも受講可能!
- 完全個別指導コースあり(オンラインも可)!
- 初回面談・初回授業は完全個別で無料(オンラインも可)!



初回面談は全て私めが個別に対応させて頂きますm(_ _)m
お気軽にお問い合わせください↓
電話番号からのお問い合わせの場合、授業や面接中で対応できない場合は折り返しご連絡させて頂きますので、留守番電話にご用件を残しておいて頂けると助かります(セールス・勧誘のお電話は固くお断り致します)。
頂いたお問い合わせへのリアクション以外で、こちらからご連絡することは一切ありません。安心してお問い合わせください。



今年、東京科学大理工学系を受けた「めぐろ塾」の生徒いないけど(笑)
(3)も、
(2)と同様に、モデル化で大小関係ない場合の総数を計算
↓
一致するものを除き、並びキャンセルで \(3!\) で割る
というストーリーは読みやすいと思いますが…
2つだけ一致するものの計算で…
↓
\(n\) の偶奇で場合分けが必要
です…



類問に慣れている人であれば発想に困らないとは思いますが…
計算はメンドウ…
僕も結果を \(n=2\) の場合で確認しようとしたら、最初に出した答で分数が出てきて発狂しました(笑)
しっかり \(n=4\) の場合までで一致するまで計算し直した答を載せましたが…疲れました…
最後まで当てるのは厳しいかもしれません。でも今年のセットの中で言うとまだましな大問なので…(2)までは確保したいところ。
解答




3
問題


考え方
典型で全く難しくないのに、ひたすら計算がメンドウな問題!!!
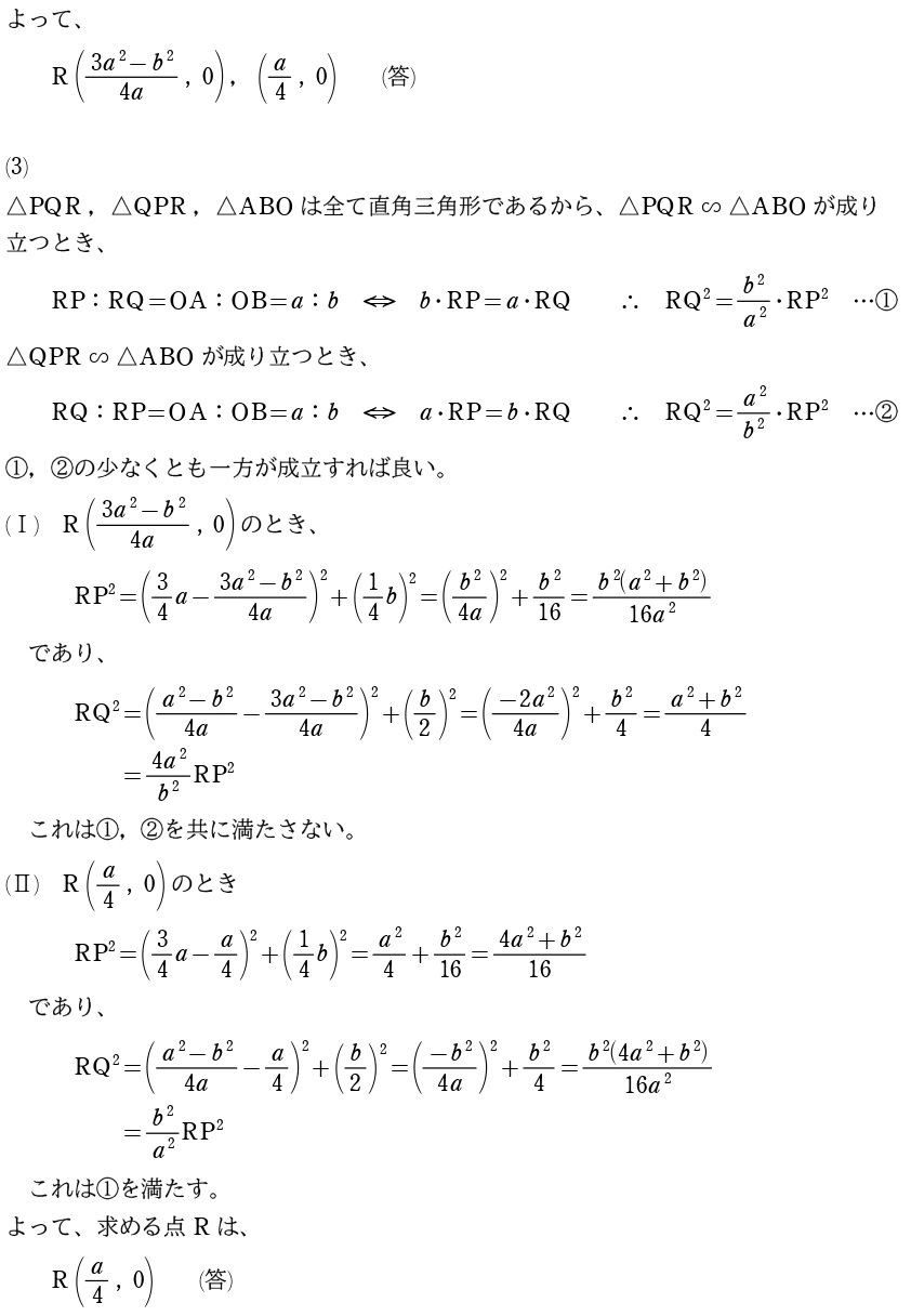
(1)はPを外す人はいないでしょう。外心Qは解答では「垂直二等分線の交点」として求めましたが、別に当たってりゃなんでもいいです。
(2)は内積=0で計算するだけ。解の公式を使うのに勇気がいるんですが、ルートの中に平方が作れます。
(3)は問題文凶悪に見えますが、結局対象が全部直角三角形なので、△OABの底辺:高さ=\(a:b\) となるものを解答するだけ。(2)よりRも2点しかないので、調べる可能性は多くありません。
今年のセットで言うとカンタンな部類なんですが…(2)の計算で詰んじゃったら終わりな問題…
これを完答近くまで解けた人は、かなり有利になると思います。
解答




4
問題


考え方



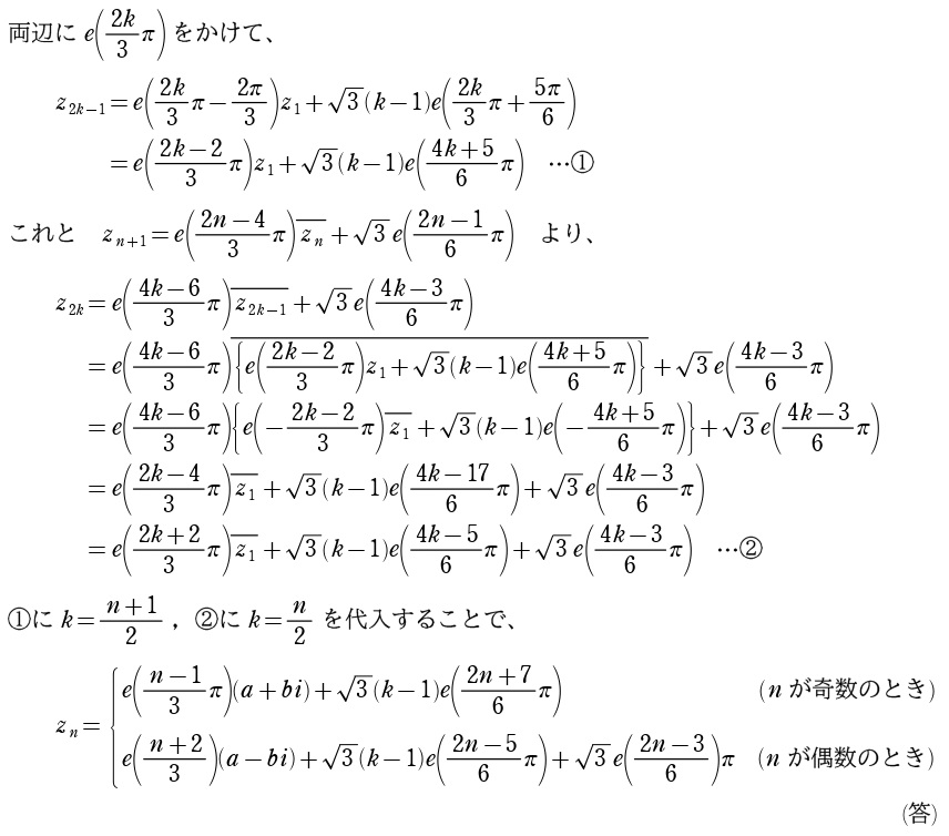
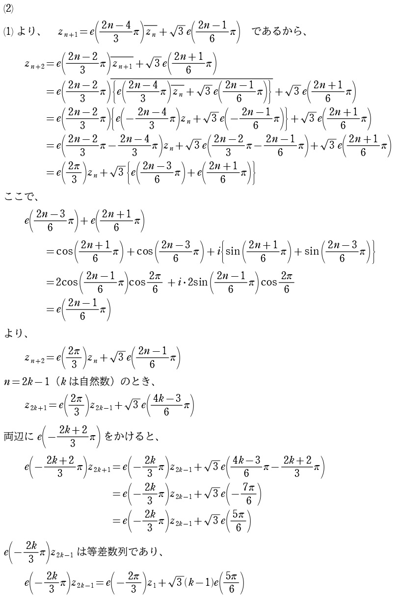
トラウマになった問題…
(2)が解けなくて、逃げて一度寝ました(笑)
そもそも…
オイラーの公式:\(e^{i\theta}=\cos\theta+i\sin\theta\)



の形で極形式を書くんじゃない!これ高校数学やぞ!!
「生徒の理解に優しく」をモットーの「めぐろ塾」の解答としては…
全て極形式で打ち込もうかと思ったんですが…
ムリです、記述量的に。解答の式の量見てもらえれば分かると思いますが…
そもそも(1)の時点で高レベルです。6本の直線から、
一番カンタンな \(\ell_2\) 対称移動に持ち込む
↓
虚軸方向に移動させ、実軸対称にして共役複素数を利用
ってしないとキツいんですが…よほど複素数平面での線対称移動に慣れてないとキツイかと…
そして…
問題の(2)ですが、正直解答読んで理解する必要がないと思います。あまりにも難しい。



悩んで悩んで悩んで悩んで悩んで解答打ち込んだのは…
プロとしての義務感(笑)
2項ずれの漸化式を目指して変形ってとこに気づいたとしても、その後の処理があまりに高レベル。ってか答がキモすぎるんで、他にもっといい解答があるのかもしれませんが…もう「めぐろ塾」の解答としては↓でいいです。疲れた…これ試験内で解かされた受験生の皆さん、本当にお疲れ様でしたm(_ _)m
解答






5
問題


考え方



見た目のヤバさで…
2023の1を思い出しました…
ただ…
ノリで半角で三角関数の次数下げとく
↓
部分積分で \(\displaystyle\frac{1}{n}\) を作り出す
↓
その部分は0に収束するに決まってる
ってストーリーを読めれば、何とかなる問題ではあります。ってか0に収束する部分の証明はかなり詳細に記述したんですが、片方だけ真面目にやってもう一方は「同様にして、」って書いて0に収束ってしてもいいと思います。
ほんで \(\lim\) 記号からオサラバできても…
最後まで計算がメンドい…
定積分数列として、めぐろ塾のテキストでも入れてる有名な形なので、部分積分で漸化式を立式してずらしましたが…
分子に104122424とか出てきて発狂寸前でした。まー分母がでかすぎるので、ここは真面目に計算しなくてもいいと思います。
最終的な \(k\) の最小値が4って出せてれば、論証不備があっても大成功な問題でしょう。
解答




講評
去年2025の解答速報↓
解答速報.jpg)
解答速報.jpg)
も行いましたが、それと比べると…
| 解答方式 | 試験時間 | 大問数 | 難易度 |
|---|---|---|---|
| 記述式 | 180分 | 5問 | 難化 |
です、明らかに。めぐろ塾では東工大だったころの2023から解答速報をやってますし、それ以前もクラス内で解答速報とかしてましたが、1年分解いてみた中で一番キツいセットでした…
このセットを試験時間内で解かされた受験生の皆さん、ホントにお疲れ様でしたm(_ _)m
できなくてもメンタルやられないで!安心して!!



僕がこの試験で一番メンタルやられてる!!!
何とも完答しにくい大問が並んだ印象です。
難易度的に言えばまだ2や3が完答はしやすいんですが…これらも計算がめんどくさい。
ひたすらに部分点をかき集めるのが大事なテスト!
だったでしょう。1(1)、2(2)まで、3(2)までくらいでも、他科目次第では全然戦えるんじゃないかと思います。



ま~でも終わったテストのことは気にするな!
これで受験が終わりって人、本当に1年間お疲れ様でしたm(_ _)m
後期を受ける予定の人は、それに向けて勉強頑張りましょう!
頑張る君を、めぐろ塾から応援しています!
…めぐろ塾の遅れてる解答速報を書きながら(笑)大丈夫、君は一人じゃない!!
今回の記事に関しての質問や、ミスを見つけた場合のクレーム(笑)めぐろ塾へのお問い合わせはこちら↓からお気軽にどうぞ!


- 日本全国どこからでも受講可能!
- 完全個別指導コースあり(オンラインも可)!
- 初回面談・初回授業は完全個別で無料(オンラインも可)!



初回面談は全て私めが個別に対応させて頂きますm(_ _)m
お気軽にお問い合わせください↓
電話番号からのお問い合わせの場合、授業や面接中で対応できない場合は折り返しご連絡させて頂きますので、留守番電話にご用件を残しておいて頂けると助かります(セールス・勧誘のお電話は固くお断り致します)。
頂いたお問い合わせへのリアクション以外で、こちらからご連絡することは一切ありません。安心してお問い合わせください。
君の大学受験が最高の結果になることを祈ってます!








