2026同志社大全学部【理系数学】解答速報

2026同志社大学の全学部日程の理系数学の解答速報をお届けします!
めぐろ塾の安田人員不足のため、一人で孤独にやっております(笑)
ミスを見つけた方は、X(Twitter)のDM等でご指摘頂けますと幸いですm(_ _)m
既にミスをご指摘頂いた方、また問題を送ってくださった受験生の方に厚く御礼申し上げますm(_ _)m
[Ⅰ]
問題
![[Ⅰ]問題](https://www.megurojyuku.com/wp-content/uploads/[Ⅰ]問題-5.jpg)
![[Ⅰ]問題](https://www.megurojyuku.com/wp-content/uploads/[Ⅰ]問題-5.jpg)
考え方



例年通り、
(1)確率・(2)複素数平面
の小問集合2題です。小問なのに1つ1つが国公立の大問レベルってのもいつも通り(笑)
でも、例年よりは解きやすかったんではないでしょうか?
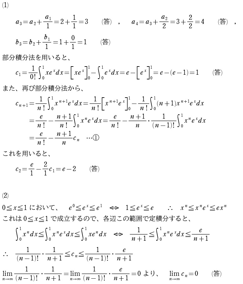
(1)
\(X_1×X_2×\:\cdots\cdots\:×X_n≧m\) ってのにビビっちゃった人もいるかとは思いますが、
- 裏2枚出たら積が0になってアウト~
- 最大値は \(2^n\)
- \(m\) が小さかったら余事象。ほぼほぼ表1枚が続かないとアウト
ってことで、考えるべきケースはそこまで多くありません。「n回試行の確率」の<方針1>「n回の過程を具体的に考える」、<方針2>「確率漸化式」のうち、<方針1>で考える典型問題で…



国公立の問題としては典型問題。何か僕最初と最後でミスってました、ご指摘頂いた方、ありがとうございますm(_ _)m
(2)
複素数平面の問題ではあるんですが…
最後まで \(\alpha\) を実数で考えていくので、ほぼほぼ3次関数の最大・最小問題でした。小問集合なのに、最後は極値をとる \(x\) の値が汚いので次数下げで計算しないとキツいでしょう。



本来は整式の割り算で次数下げすべきなんですが、打ち込むのがメンドいので解答では式変形で代用しています。
さらに解答では、解答欄の形から最大・最小の選別を省いちゃってますが…
多分出題者の意図もこれだと思うので、悪しからずご了承くださいm(_ _)m
解答
![[Ⅰ]解答①](https://www.megurojyuku.com/wp-content/uploads/[Ⅰ]解答①-12.jpg)
![[Ⅰ]解答①](https://www.megurojyuku.com/wp-content/uploads/[Ⅰ]解答①-12.jpg)
![[Ⅰ]解答②](https://www.megurojyuku.com/wp-content/uploads/[Ⅰ]解答②-11.jpg)
![[Ⅰ]解答②](https://www.megurojyuku.com/wp-content/uploads/[Ⅰ]解答②-11.jpg)
![[Ⅰ]解答③](https://www.megurojyuku.com/wp-content/uploads/[Ⅰ]解答③-12.jpg)
![[Ⅰ]解答③](https://www.megurojyuku.com/wp-content/uploads/[Ⅰ]解答③-12.jpg)
[Ⅱ]
問題
![[Ⅱ]問題](https://www.megurojyuku.com/wp-content/uploads/[Ⅱ]問題-5.jpg)
![[Ⅱ]問題](https://www.megurojyuku.com/wp-content/uploads/[Ⅱ]問題-5.jpg)
考え方



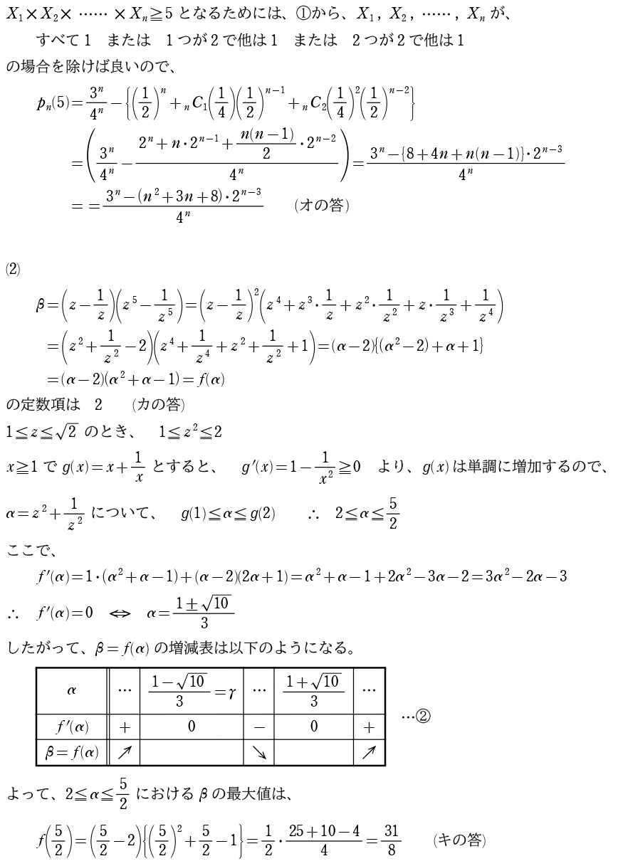
同志社の[Ⅰ]には苦い思い出しかないので僕はこれから打ち込みましたが…
(1)・(2)・(3)はひたすら微分するだけなのでカンタンです。
ただ(4)は結構混乱するのではないかと思います。昨年の[Ⅳ]も複雑な合成関数で混乱させてくる問題で…個人的にはこのトラウマを思い出しました(笑)ただ本問は、
(1)で \(f(0)\:,\:f(\log2)\) を求めさせており、(2)・(3)から \(g(f^{\prime\prime}(x))=g(-2f(x))\)
↓
\(g(f^{\prime\prime}(x))\) を置換して積分
すれば式変形でゴリおせる構成になっています。ま~それでも…



積分区間の書き換えとか \(f^{\prime\prime}(x)\) と \(f(x)\) のどっち使うべきやねん!
とかイライラしちゃう問題なんですが(笑)ムカついたんで、解答では両方使っときました。
完答できずとも、(4)の置換積分での指針点までは拾いたい問題。ってか僕は最後の最後の展開計算でミスってました(笑)ご指摘頂いた方、ありがとうございますm(_ _)m
解答
![[Ⅱ]解答①](https://www.megurojyuku.com/wp-content/uploads/[Ⅱ]解答①-6.jpg)
![[Ⅱ]解答①](https://www.megurojyuku.com/wp-content/uploads/[Ⅱ]解答①-6.jpg)
![[Ⅱ]解答②](https://www.megurojyuku.com/wp-content/uploads/[Ⅱ]解答②-10.jpg)
![[Ⅱ]解答②](https://www.megurojyuku.com/wp-content/uploads/[Ⅱ]解答②-10.jpg)
[Ⅲ]
問題
![[Ⅲ]問題](https://www.megurojyuku.com/wp-content/uploads/[Ⅲ]問題-6.jpg)
![[Ⅲ]問題](https://www.megurojyuku.com/wp-content/uploads/[Ⅲ]問題-6.jpg)
考え方
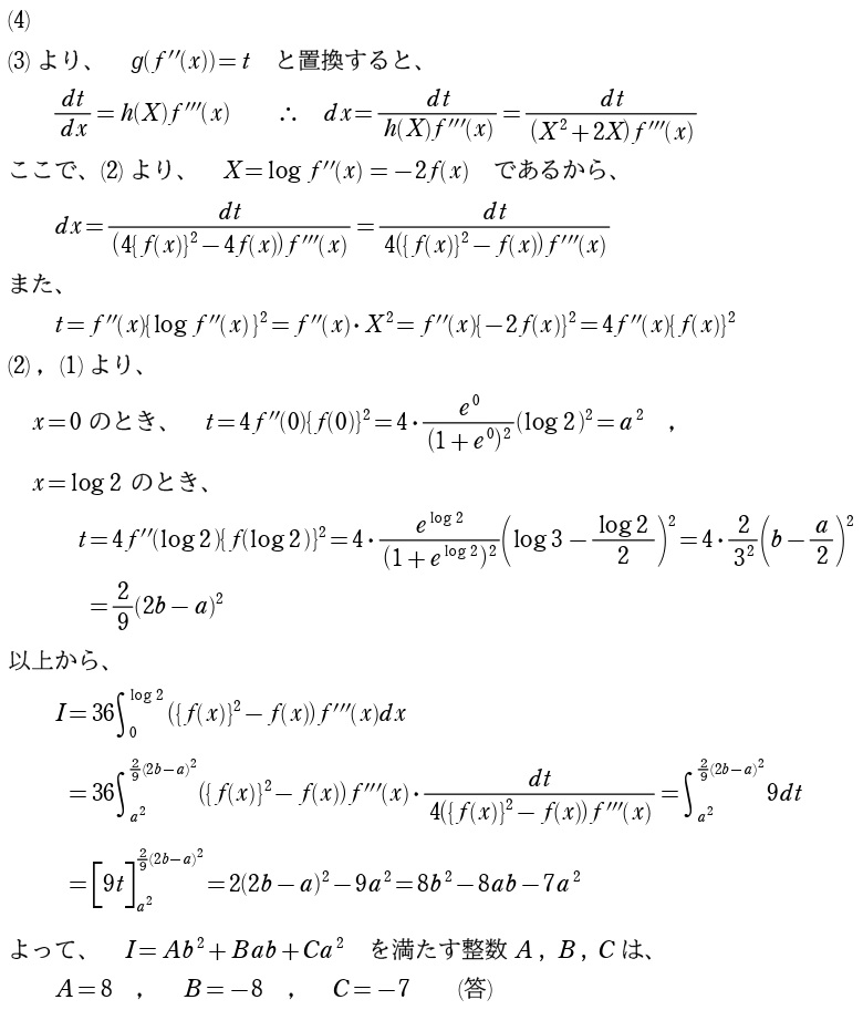
(1)・(2)は、境界線と接するとき
↓
(3)は、中身の正負で場合分けして絶対値を外す
↓
(3)の(ⅰ)をヒントとし、\(D_1\) と \(D_2\) で \(E\) を考える
というストーリーは極めて読みやすいでしょう。問題は…(3)の(ⅰ)のヒントを…
\(a+b≦|a-b|\) → \(a\:,\:b\) の大小に関係なく、\(a≦0\) と \(b≦0\) の和領域
って受け取れるかなんですが…



プロの僕、ダメでした(笑)
曲線群の意識で絶対値の中身=0の放物線を考えて、速報なのにムダに手間かけて色使って1時間かけて会心の図を2つ作図した段階で気づいた次第です、お恥ずかしい…



手間暇かけた図をムダにしたくなかったので、さらに1時間かけて図を5つ完成させ、それらを使った解答にしましたが、「\(E\) は \(D_1\) と \(D_2\) の和領域」と捉えられていれば、(4)の図までの記述は不要です(笑)
ま~僕と同様に和領域って認識できなかった人も、試験時間内では \(D_1\) と \(D_2\) の境界線両方に接するときを求めて答にしちゃうのが良いでしょう、(1)が「すべて求め」なのに対して(4)は「組 \(s\:,\:t)\) を求めよ」なので答が1組なのも把握しやすいですし。僕も試験時間内で解くならそ~してたと思います。
解答
![[Ⅲ]解答①](https://www.megurojyuku.com/wp-content/uploads/[Ⅲ]解答①-9.jpg)
![[Ⅲ]解答①](https://www.megurojyuku.com/wp-content/uploads/[Ⅲ]解答①-9.jpg)
![[Ⅲ]解答②](https://www.megurojyuku.com/wp-content/uploads/[Ⅲ]解答②-12.jpg)
![[Ⅲ]解答②](https://www.megurojyuku.com/wp-content/uploads/[Ⅲ]解答②-12.jpg)
![[Ⅲ]解答③](https://www.megurojyuku.com/wp-content/uploads/[Ⅲ]解答③-3.jpg)
![[Ⅲ]解答③](https://www.megurojyuku.com/wp-content/uploads/[Ⅲ]解答③-3.jpg)
![[Ⅲ]解答④](https://www.megurojyuku.com/wp-content/uploads/[Ⅲ]解答④-4.jpg)
![[Ⅲ]解答④](https://www.megurojyuku.com/wp-content/uploads/[Ⅲ]解答④-4.jpg)
[Ⅳ]
問題
![[Ⅳ]問題](https://www.megurojyuku.com/wp-content/uploads/[Ⅳ]問題-6.jpg)
![[Ⅳ]問題](https://www.megurojyuku.com/wp-content/uploads/[Ⅳ]問題-6.jpg)
考え方
めぐろ塾での同志社の解答速報は4年目ですが…



同志社全学部理系数学では、作問者が[Ⅳ]を最後まで解かせるつもりがない!!!
という原則から外れる出題でした。数列・極限・積分に長けている人であれば、いつもと違って25~30分程度で完答できる問題かと思います。
まず、数列・積分に長けている人が、(1)~(4)で頭を悩ますことはないでしょう。



(2)とかめぐろ塾のテキスト↓ほぼまんまだし(笑)


- 日本全国どこからでも受講可能!
- 完全個別指導コースあり(オンラインも可)!
- 初回面談・初回授業は完全個別で無料(オンラインも可)!



初回面談は全て私めが個別に対応させて頂きますm(_ _)m
お気軽にお問い合わせください↓
電話番号からのお問い合わせの場合、授業や面接中で対応できない場合は折り返しご連絡させて頂きますので、留守番電話にご用件を残しておいて頂けると助かります(セールス・勧誘のお電話は固くお断り致します)。
頂いたお問い合わせへのリアクション以外で、こちらからご連絡することは一切ありません。安心してお問い合わせください。
(5)は思考が必要になりますが、
\(c_n\) と \(d_n\) の3項間漸化式が一緒で同一視できる
↓
初項と第2項で \(p\:,\:q\) を調節すれば、\(c_n\) を \(a_n\) と \(b_n\) で表せる
↓
(1)の段階で明らかに \(a_n=n\) っぽいから、帰納法証明
↓
\(b_n\) が \(c_n\) のみで表せて、(2)で \(c_n\) の極限求めてるから後はやりたい放題
って感じで、極めて自然な思考で何とかなるレベルです。



ま~でも(5)は一般的に言って「やや難」レベルですね。
(4)まで取れてれば及第点でしょう。
解答
![[Ⅳ]解答①](https://www.megurojyuku.com/wp-content/uploads/[Ⅳ]解答①-13.jpg)
![[Ⅳ]解答①](https://www.megurojyuku.com/wp-content/uploads/[Ⅳ]解答①-13.jpg)
![[Ⅳ]解答②](https://www.megurojyuku.com/wp-content/uploads/[Ⅳ]解答②-12.jpg)
![[Ⅳ]解答②](https://www.megurojyuku.com/wp-content/uploads/[Ⅳ]解答②-12.jpg)
![[Ⅳ]解答③](https://www.megurojyuku.com/wp-content/uploads/[Ⅳ]解答③-8.jpg)
![[Ⅳ]解答③](https://www.megurojyuku.com/wp-content/uploads/[Ⅳ]解答③-8.jpg)
講評
昨年2024も解答速報↓


を行いましたが、これと比べると…
| 解答方式 | 試験時間 | 大問数 | 難易度 |
|---|---|---|---|
| [Ⅰ]は答のみ解答、 [Ⅱ]~[Ⅳ]は記述式 | 100分 | 4問 | やや易化 |
になります。



イヤ、充分すぎるくらいにムズいよ!?
嫌がらせレベルにムズいよ!?
インフルB型で37℃以上熱ある状態で解いてたから、作問者を呪ったよ!?
でも…去年の問題はホントにやばかったから…
満点を取るってゆ~視点に立つと「易化」ですが、受験者目線に立つと「やや易化」が妥当かと思います。
まず、小問集合の難易度・計算量は例年より穏やかでした。何とか2・3ミスくらいで乗り切りたい。
反面、明らかな点取り大問がなかったところは例年より厳しかったでしょう。[Ⅱ]は(3)まで、[Ⅲ]も(3)まで、[Ⅳ]は(4)まで取ってほしい…
まとめると…
小問集合[Ⅰ]を8割くらい当てて、大問は部分点をかき集めるのが大事なテスト!
だったかと思いますが…



もう同志社の全学部は忘れてオッケー!
そもそもまだ医歯薬以外の受験は始まったばかり!



解答速報ずっと書いてる僕が断言する。
旧帝大の問題、大体これよりカンタン。で、試験時間たっぷり(笑)
今後の入試で、
同志社全学部の理系数学より全然カンタンじゃ~ん
ってテンション爆上がりになることをお約束します(笑)
君の受験はまだまだこれからだっ!!!



僕の解答速報も本番はこれから…
大丈夫!君は一人じゃない!!
今回の記事に関しての質問や、ミスを見つけた場合のクレーム(笑)めぐろ塾へのお問い合わせはこちら↓からお気軽にどうぞ!


- 日本全国どこからでも受講可能!
- 完全個別指導コースあり(オンラインも可)!
- 初回面談・初回授業は完全個別で無料(オンラインも可)!



初回面談は全て私めが個別に対応させて頂きますm(_ _)m
お気軽にお問い合わせください↓
電話番号からのお問い合わせの場合、授業や面接中で対応できない場合は折り返しご連絡させて頂きますので、留守番電話にご用件を残しておいて頂けると助かります(セールス・勧誘のお電話は固くお断り致します)。
頂いたお問い合わせへのリアクション以外で、こちらからご連絡することは一切ありません。安心してお問い合わせください。
君の大学受験が最高の結果になることを祈ってます!








