2026早稲田教育【数学】解答速報

2026早稲田教育【数学】解答速報

2026早稲田大学教育学部の数学の解答速報をお届けします!

めぐろ塾の安田

人員不足のため、一人で孤独にやっております(笑)

ミスを見つけた方は、X(Twitter)のDM等でご指摘頂けますと幸いですm(_ _)m

既にご指摘頂いた方に、厚く御礼申し上げますm(_ _)m

目次

問題

1問題

考え方

めぐろ塾の安田

例年通り、小問集合4問です。

(1)は、4の倍数を数えて把握。これらの組み合わせで「異なり、最大公約数が4でないもの」と「同じになっちゃうもの」を引くだけです。今年のセットで言うとここは確保したいんですが…確率なので計算ミスのリスクが高い…ミスったらしょうがない。

めぐろ塾の安田

(2)は当てカンしましょう。\(a=\sqrt{2}-1\:,\:\)\(b=\sqrt{2}\:,\:\)\(c=\sqrt{2}+1\) のときの \(k\) の最小値書いておけば、それが正解(笑)

一応、解答では予選決勝法で論証したんですが、係数が正って言うところが何ともキモい解答となっております(笑)因みに受験生の方が…与不等式を、

\(\small{abc+ab+bc+ca+a+b+c+1≦(k+1)abc}\)

\((a+1)(b+1)(c+1)≦(k+1)abc\)

\(\left(1+\displaystyle\frac{1}{a}\right)\left(1+\displaystyle\frac{1}{b}\right)\left(1+\displaystyle\frac{1}{c}\right)≦k+1\)

って変形して…クソ綺麗に解いておりました…

めぐろ塾の安田

確実に大学側の想定解答はこれ↑です。
でもたくさん打ち込んだの消すのがしのびないので、めぐろ塾の解答は修正しないでおきます、ってかオレこんなの思い浮かばないし(笑)

(3)は…

\(N\) が1つ増えると、漸近線が両サイドに2つ追加される

元の漸近線と、その間に1つずつ実数解(\(x\) 軸との交点)が増える

というストーリーを読めるかが全てですが…試験時間内に気づくのは厳しいんじゃないでしょうか?

めぐろ塾の安田

僕も「ムリそ~」って思って、次の日まわしにし、餃子酒場でビール飲んでる最中に気づいたので(笑)

一応解答では記述式としても通用するくらいの解答を書きましたが、\(N\) を自然数ではなく、0以上ってしないとやりづらい…ストーリー読めて答当てられた人はチョー大成功でしょう。

(4)は、置き換えによる個数対応に慣れている人であれば、\(g(x)=t\) っておいて、極小値」=「定義域の端とすることに気づけると思います。

めぐろ塾の安田

(解の個数が話題に挙がる問題で)置き換えをしたら~?

解の個数対応チェック~

ってキーワード化してる「めぐろ塾」↓的中!!!

看板
  • 日本全国どこからでも受講可能!
  • 完全個別指導コースあり(オンラインも可)!
  • 初回面談・初回授業は完全個別で無料(オンラインも可)!
めぐろ塾の安田

初回面談は全て私めが個別に対応させて頂きますm(_ _)m
お気軽にお問い合わせください↓

03-6841-7626

電話番号からのお問い合わせの場合、授業や面接中で対応できない場合は折り返しご連絡させて頂きますので、留守番電話にご用件を残しておいて頂けると助かります(セールス・勧誘のお電話は固くお断り致します)。

頂いたお問い合わせへのリアクション以外で、こちらからご連絡することは一切ありません。安心してお問い合わせください。

X(Twitter)のDMからのお問い合わせ

でも…8次方程式になり…「これ合ってるのかよ~」って不安になり…4次式の因数分解で計算ミスしてドはまりし…

めぐろ塾の安田

僕は時間内では解けなかったと思います…

めぐろ塾で受験した生徒がいて…この問題の出来は聞いていませんが…できていなくても怒れない(笑)

因みに解答では4次関数のグラフがスゲー縦長な概形になっていますが、計算確認を兼ねて \(a=\displaystyle\frac{3-\sqrt{6}}{2}\) のときの概形を再現したためです。定義域や点の座標の入力式が複雑になりすぎて、ソフトが正しい線を出してくれなくなったりして…一部点線は僕が別に書き込んでおります、悪しからずご了承くださいm(_ _)m

解答

1解答①
1解答②
1解答③

問題

2問題

考え方

めぐろ塾の安田

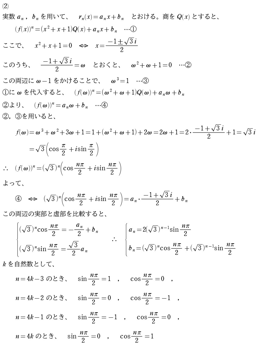
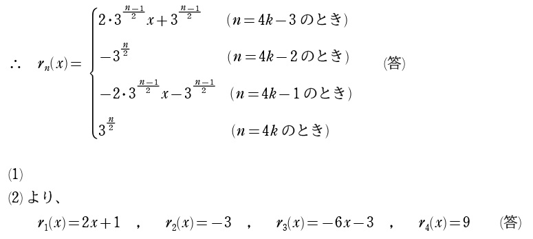
\(x^2+x+1=0\) 見たら \((x-1)\) かけろ、\(x^3=1\) で \(\omega\)

と「めぐろ塾」の生徒に洗脳している手前、\(\omega\) で解くしかなくなりました(笑)二項定理や漸化式など、さまざまな方法が考えられますが。

解答ではめんどくさいんで、(2)を解いた上で、その結果を使って(1)を片付けています。

(3)は、(2)の結果から \(n\) が小さいものを丁寧に調べていくだけですが…

  • (2)の結果を \(\sin\:,\:\cos\) のまま書くか、解除して書くか悩む
  • 結局解除し、4周期で書いたら、「これ偶奇でもいいんじゃね?」って気づく
  • 打ち込み直すのめんどくさいし、授業後で疲れてたから4周期でゴリ押す

ってしたら、ものの見事にミスりました(笑)ご指摘頂いたお二方、ありがとうございますm(_ _)m

ま~(3)は論証もダルいので、(2)まで当ててればオッケーな問題だと思います。

解答

2解答①
2解答②
2解答③

問題

3問題

考え方

見た目の凶悪さに反し、小問集合まで含めて今年のセットの中で一番カンタンな問題でした。

冷静に未知数設定して条件式を立式すれば…

(1)は連立方程式を解くだけ

(2)は恒等式処理

(3)は未知数設定すらいらないんかい!!!

で解けてしまうので。

めぐろ塾の安田

今年のセットだと、これは完答しておきたい!!!
僕は(2)で計算ミスったのでダメでしたが(笑)
ご指摘頂いた方、ありがとうございますm(_ _)m

解答

3解答

問題

4問題

考え方

放物線の焦点とか準線とか忘れたぁあああああああああああああああああーっ!!!

めぐろ塾の安田

って人も焦るな。大半の問題は知らなくても何とかなる。この問題もそう。

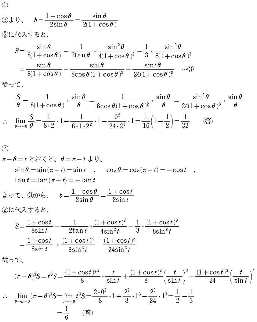
図形と極限なので…はさみうちを使うことも検討しましたが…評価に失敗すると沼にハマるので…

解答では \(S\) を \(\theta\) で表して、計算でゴリ押すことにしました(笑)

放物線と直線の交点(解答の \(b\))のルートが外せるので、ま~何とか計算できるレベル。

計算ゴリ押しで気をつける点としては、

(1)・(2)共に、\(S\) に代入する前に…

\(b\) に \(1-\cos\) を登場させないようにしておく(\(1+\cos\) に変更)

ところです。代入した後に分子・分母に \(1+\cos\) をかけると、記述量が増えるので。

めぐろ塾の安田

ま~…でも…こーゆ~テクニック使ったとしても計算・記述量は多めです。

  • はさみうちを考える → 試行錯誤で時間を喰う
  • 計算ゴリ押し → 計算・記述量が増える

ってことで、ど~解いたとしても中々解き応えのある問題。(1)だけでも正解できれば成功、完答できたら大成功な問題でしょう。

解答

4解答①
4解答②

講評

2025の解答速報↓

も行いましたが、それと比べると…

解答方式試験時間大問数難易度
1は答のみ解答、
2~4は記述式
120分4問難化

です。昨年2025は大問が全て典型でカンタンでしたが、今年は大問がかなり難しかったので。小問集合1の難易度も昨年より高いです。

2(2)まで、3を完答していることが大事なテスト

だったんじゃないでしょうか?これで合格最低点は固いと思います。2が(2)まで解けてなくても、「小問が1問当たった~」とか「4(1)は解けた~」とかだったら全然戦えるでしょう。

でも…

もう…

めぐろ塾の安田

こんな難易度の上下激しすぎの早稲田教育の数学のことはもう忘れていいよ(笑)

国公立受けない人は、これが最後の試験って人も多いんじゃない?1年間本当にお疲れ様m(_ _)m

国公立受ける人は、それに向けた勉強を頑張って!

めぐろ塾の安田

僕の一番の解答速報地獄は国公立の予定です…
大丈夫、君は一人じゃない(笑)

今回の記事に関しての質問や、ミスを見つけた場合のクレーム(笑)めぐろ塾へのお問い合わせはこちら↓からお気軽にどうぞ!

看板
  • 日本全国どこからでも受講可能!
  • 完全個別指導コースあり(オンラインも可)!
  • 初回面談・初回授業は完全個別で無料(オンラインも可)!
めぐろ塾の安田

初回面談は全て私めが個別に対応させて頂きますm(_ _)m
お気軽にお問い合わせください↓

03-6841-7626

電話番号からのお問い合わせの場合、授業や面接中で対応できない場合は折り返しご連絡させて頂きますので、留守番電話にご用件を残しておいて頂けると助かります(セールス・勧誘のお電話は固くお断り致します)。

頂いたお問い合わせへのリアクション以外で、こちらからご連絡することは一切ありません。安心してお問い合わせください。

X(Twitter)のDMからのお問い合わせ

君の大学受験が最高の結果になることを祈ってます!

よかったらシェアしてね!
  • URLをコピーしました!
  • URLをコピーしました!

この記事を書いた人

早稲田大学理工学部機械工学科卒。

「武蔵小山駅」7分、「不動前駅」9分、攻玉社・小山台高校から徒歩圏内、日本全国どこからでも受講可能!

な、英数専門「めぐろ塾」で数学を教えています。

チューター等は介さず、高1~高卒までの全学年の数学を、責任を持って一人で指導しています。

目次