2026慶應理工【数学】解答速報

2026慶應理工【数学】解答速報

2025慶應義塾大学理工学部の数学の解答速報をお届けします!

めぐろ塾の安田

人員不足のため、一人で孤独にやっております(笑)

ミスを見つけた方は、X(Twitter)のDM等でご指摘頂けますと幸いですm(_ _)m

また、問題を送ってくださった受験生の方に、厚く御礼申し上げますm(_ _)m

目次

問題

1問題

考え方

直線と円の中心の距離を \(d\) 、円の半径を \(r\) として、

(1)は接するから \(d=r\) 、(2)は異なる2点で交わるから \(d<r\)

めぐろ塾の安田

図形的に考えるわけですが、ほぼ公式ですね。
本校受験者には釈迦に説法でしょう(笑)

(3)は意味不明、\(d\) じゃん。(4)は典型的な中点の軌跡です。

(5)はメンドイだけ。立体は同じ円錐をくっつけたものになるので、

円錐の体積を \(t\) で立式

変数をルートの中に集めて、中身の最大・最小

を考えます。義務感で解答では置き換え後の文字の変域を調べて3次関数の増減表を作成しましたが、最大値自体は問われていないので、極値のところの \(t\) を求めて終わりにしちゃってオッケーです。

めぐろ塾の安田

だってマーク式(答のみ解答)だもの(笑)

解答

1解答①
1解答②
1解答③

問題

2問題

考え方

(1)は内積の定義式使っとくだけ、(2)は典型的な「1次結合<解法3>」、(3)はその結果を2乗するだけ。

めぐろ塾の安田

と、ここまではクソ簡単なんですが、(4)以降は基底ベクトルを \(\overrightarrow{\textrm{OA}}=\overrightarrow{a}\:,\:\overrightarrow{\textrm{OB}}=\overrightarrow{b}\) で考えられなくなって、ちょっと大変。

(4)も「1次結合<解法3>」なんですが、

平面 OAB と垂直

平面を作る2ベクトル \(\overrightarrow{\textrm{OA}}\:,\:\overrightarrow{\textrm{OB}}\) と垂直

のうち、後者だけを処理すれば \(l\) は求まってしまいます…

めぐろ塾の安田

ベクトル慣れている人ほど戸惑っちゃうと思うんですが、序文の「\(\overrightarrow{\textrm{OQ}}\) と \(\overrightarrow{\textrm{OB}}\) が垂直」って言葉を失念しなければ何とかなるでしょう。

(5)はノリでPとHを一致させるだけですが、計算量は多め。ま~外しちゃっても他で挽回してください。

解答

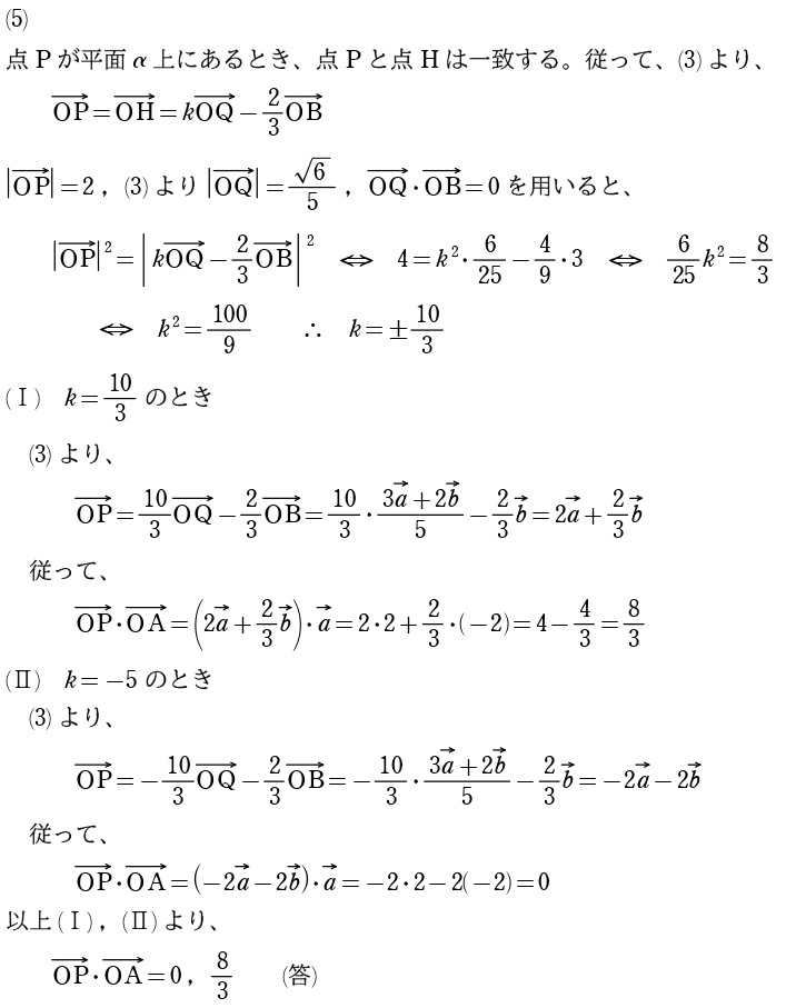
2解答①
2解答②

問題

3問題

考え方

(シ)はダブりに注意して計算するだけ。\(a\) と \(b\) の和が \(n\) を超えないので、「\(2n\) 回のうち、\(n\) 回表が出る」として \(M_n\) も計算できてしまいます。これは \(M_5\) で実験して気づいても良いでしょう。(セ)は区分求積で計算しますが、確率と極限の融合は本校で良く出題されているので、過去問対策してた人は問題ないはず。

(2)は取りあえず \(P(D)\) を \(c=k\) としてシグマを立式すると…

めぐろ塾の安田

C(コンビネーション)の和になって、二項定理の逆利用で計算って洗脳してる「めぐろ塾」↓的中!!!

看板
  • 日本全国どこからでも受講可能!
  • 完全個別指導コースあり(オンラインも可)!
  • 初回面談・初回授業は完全個別で無料(オンラインも可)!
めぐろ塾の安田

初回面談は全て私めが個別に対応させて頂きますm(_ _)m
お気軽にお問い合わせください↓

03-6841-7626

電話番号からのお問い合わせの場合、授業や面接中で対応できない場合は折り返しご連絡させて頂きますので、留守番電話にご用件を残しておいて頂けると助かります(セールス・勧誘のお電話は固くお断り致します)。

頂いたお問い合わせへのリアクション以外で、こちらからご連絡することは一切ありません。安心してお問い合わせください。

X(Twitter)のDMからのお問い合わせ

今年めぐろ塾で慶應理工受けた生徒いないけど(笑)

\(P(D)\) さえ計算できれば、(ソ)は \(n=4\) を代入するだけ、(コ)は \(c=0\) かつ \(d=0\) の場合を計算して割っとくだけです。\(P(D)\) を一般的に求められなかった人も、(ソ)は根性計算で当たるので、ここは確保しましょう。

解答

3解答①
3解答②

問題

4問題

考え方

(1)は複素数平面上で「垂直」の証明なので、「純虚数」であることを証明するだけ。

めぐろ塾の安田

この手の問題に慣れてる人には言うまでもありませんが、取りあえず \(\overrightarrow{\textrm{AC}}\) に対応する複素数 \(\gamma-\alpha\) を作っときましょう。後はノリで何とかなります(笑)

(2)以降は、

新しく登場する等式は、最初の等式に \(\beta=z_n\:,\:\gamma=z_{n+1}\) を当てはめたもの

(1)と照らし合わせて中点と垂直を判断し、漸化式の立式を考える

ってのは本校受験者であれば大丈夫だと思いますが…

めぐろ塾の安田

僕も結構混乱しました(笑)
冷静に照らし合わせて作図してください。

作図を正確に終了し、\(S_n\) の漸化式が正しく立式できれば、(4)が \(S_6\) までの和であることも容易に読み取れるでしょう。複素数平面、図形と漸化式を高レベルに使わせる良問です。

解答

4解答①
4解答②

問題

5問題

考え方

めぐろ塾の安田

(1)・(2)って何か意味あんの?
関連性疑ってタイムロスしたんですが…(笑)

結局、(1)はド・モアブル使ってるだけ、(2)は倍角2回使ってりゃ終了です。

(3)は極座標・極方程式…

めぐろ塾の安田

あんまり出題されないんで、ニガテにしてる人多いですよね…

今回は、

直交座標の方程式を極方程式に変換

\(x^2+y^2=r^2\:,x=r\cos\theta\:,y=r\sin\theta\) を代入

するだけでクソ簡単なんですが…ってか後者だけでも三角関数の公式の併用でどうにかなります…

めぐろ塾の安田

\(\theta\) の範囲や、\(\cos2\theta\) の正負判断とかはそこそこ経験がいると思いますが…答のみ解答なのでノリで極方程式は当てて頂きたい!

最後の求積は扇型分割で片づけちゃいました。記述式で使うのは微妙とされていますが、答のみ解答の慶應理工では常套のテクニックです。

解答

5解答

講評

去年2024の解答速報↓

も行いましたが、それと比べると…

解答方式試験時間大問数難易度
答のみ解答、
一部(主に証明)記述式
120分5問易化

です。例年の慶應理工は…

凡人に満点とらせる気がサラサラない構成ですが…

めぐろ塾の安田

今年の難易度なら…凡人の私めでも…
最高にチョーシ良かったら時間内で満点とれるんじゃね!?

ってレベルでした。でも流石は慶應理工、カンタンってレベルの大問はありません。複素数平面の内容が多かったり、微積分の内容が少なかったりと、やや範囲の偏りは感じましたが、

いつもと違って、数学力がダイレクトに点数に現れるテスト

めぐろ塾の安田

だったんじゃないでしょうか?
例年のような悪問はなく、良問ばっかりで個人的には好印象でした(笑)

ま~でも…

終わったテストのこととか…

必要以上に気にせんでええですよ…

慶應理工のことはもう忘れよう…

めぐろ塾の安田

我が母校の早稲田理工の試験が控えてるぞっ!!

それに向けて勉強頑張って!!!

めぐろ塾の安田

めぐろ塾でも速報予定です!ムズかったら受験生の君たちより僕の方が地獄…
大丈夫、君は一人じゃない(笑)

今回の記事に関しての質問や、ミスを見つけた場合のクレーム(笑)めぐろ塾へのお問い合わせはこちら↓からお気軽にどうぞ!

看板
  • 日本全国どこからでも受講可能!
  • 完全個別指導コースあり(オンラインも可)!
  • 初回面談・初回授業は完全個別で無料(オンラインも可)!
めぐろ塾の安田

初回面談は全て私めが個別に対応させて頂きますm(_ _)m
お気軽にお問い合わせください↓

03-6841-7626

電話番号からのお問い合わせの場合、授業や面接中で対応できない場合は折り返しご連絡させて頂きますので、留守番電話にご用件を残しておいて頂けると助かります(セールス・勧誘のお電話は固くお断り致します)。

頂いたお問い合わせへのリアクション以外で、こちらからご連絡することは一切ありません。安心してお問い合わせください。

X(Twitter)のDMからのお問い合わせ

君の大学受験が最高の結果になることを祈ってます!

よかったらシェアしてね!
  • URLをコピーしました!
  • URLをコピーしました!

この記事を書いた人

早稲田大学理工学部機械工学科卒。

「武蔵小山駅」7分、「不動前駅」9分、攻玉社・小山台高校から徒歩圏内、日本全国どこからでも受講可能!

な、英数専門「めぐろ塾」で数学を教えています。

チューター等は介さず、高1~高卒までの全学年の数学を、責任を持って一人で指導しています。

目次