2023京大【文系数学】解答速報

2023京都大学の文系数学の解答速報をお届け!
めぐろ塾の安田できてないですね、
↓と同じく解答「遅報」シリーズです(笑)


やはり↑と同じく…



理系数学と共通問題あるから楽なんじゃね~の~?
って思ってたのに1.5問しか共通してなくてムカつきました(笑)
1
問題


考え方



問1は理系数学の3(1)と共通問題ですが…
コピペするのもメンドイくらいの簡単さなので、再度打ち込んだ(笑)
理系数学の解説記事でも言ってるんですが、
- サイコロの目の積が〇の倍数 → 余事象の利用
- サイコロの目の和が〇の倍数 → 数え上げる
くらいは公式化しておいてください。



問2は…個人的には今年の京大文系数学の問題で一番ムズかったかも(笑)
3次展開公式
\((a+b+c)(a^2+b^2+c^2-ab-bc-ca)\)\(\:=a^3+b^3+c^3-3abc\)
完全暗記できてる受験生はかなり少ないと思いますが…どの参考書にも載っているこの公式を暗記してるかが全てです。



対称式処理で、\(a^3+b^3+c^3\)=……
って形で使うことが多いですね、2022の東工大でも使いました。教えてる生徒には、「大きいテストの度に直前暗記しろ」って指導してます(笑)
受験者の出来は良くないと思います、下手に時間かけるよりは捨ててしまった方が良いでしょう。



僕も見事に分子の引き算で計算ミスさせて頂きましたm(_ _)m
解答


2
理系数学の2と共通問題です。



コピペするのダルいんで、理系数学の解答速報の2をご覧くださいm(_ _)m


- 日本全国どこからでも受講可能!
- 完全個別指導コースあり(オンラインも可)!
- 初回面談・初回授業は完全個別で無料(オンラインも可)!



初回面談は全て私めが個別に対応させて頂きますm(_ _)m
お気軽にお問い合わせください↓
電話番号からのお問い合わせの場合、授業や面接中で対応できない場合は折り返しご連絡させて頂きますので、留守番電話にご用件を残しておいて頂けると助かります(セールス・勧誘のお電話は固くお断り致します)。
頂いたお問い合わせへのリアクション以外で、こちらからご連絡することは一切ありません。安心してお問い合わせください。
3
問題


考え方


↑の記事で紹介してる「2倍角と3倍角の公式の併用(チェビシェフ多項式)」の内容と…


↑の記事で紹介してる「円に内接するn角形」の内容がほぼそのまんま出ましたね…



的中ぅううううー!!
って自慢できないくらい有名内容だけど(笑)
(1)は解答では加法定理から全て導きましたが、前者の記事で紹介してる2倍角と3倍角の公式の結果だけ書いてれば大丈夫でしょう。
(2)の解答の「ここで、」以降のとこ…
なんでいきなり \(20<\displaystyle\frac{221841}{10000}=\left(\displaystyle\frac{471}{100}\right)^2\) とか出てきてんだよぉおおおおおおおおおー!!!
って思うよね(笑)



1.15と \(\displaystyle\frac{\sqrt{10-2\sqrt{5}}}{2}\) の大小比較には2乗→移項→2乗が必要だから、1.15>\(\displaystyle\frac{\sqrt{10-2\sqrt{5}}}{2}\) とか大小を仮決めして計算、大小が確定したとこから逆に記述してるだけ。
他の「解答速報」さんはカッコよく証明してたけど、こーゆー凡人戦略の方が個人的に好みです、採点者は絶対減点できないし(笑)
解答
解答.jpg)
解答.jpg)
解答.jpg)
解答.jpg)
4
問題


考え方



\(S_n\) 入り漸化式です。
\(a_n=S_n-S_{n-1}\)(\(n≧2\))も用いて、\(S_n\) を消去する
↓
\(a_n\) の階差数列わかるタイプの漸化式がでる
↓
階差の和を一般的な参考書で言う、\(T_n-rT_n\) 法で計算
するだけ。こーいった問題で東大や京大がやりがちな、初項のひっかけとかもありません。



因みに、他の「解答速報」さん見たら、\(a_n\) 消去して \(S_n\) の漸化式立式した方がシグマ計算が楽みたいだけど…
これだと \(S_n\) 求めた後に \(a_n\) 求める手間がかかるので、解答のように \(S_n\) を消去するのを優先した方がいいです、こっちでも大したシグマ計算じゃない。
解答


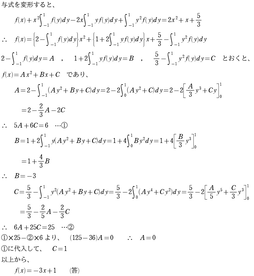
5
問題


考え方



「積分方程式」って言われる内容。厳密には「恒等式」ですよ~ってアピールしてくる京大の作問者に好感持ったけど、君らはこーゆーとこ気にしちゃダメ(笑)
「積分区間が定数」なんで、
積分変数 \(y\) 以外の文字 \(x\) をインテグラルの外に出す
↓
インテグラルを未知数でおく
↓
未知数でおいた等式の定積分を計算
って有名内容ですが…



文系の問題で3つ未知数でおかせるのは罰ゲーム(笑)
理系の問題としては複数おかせるのは頻出だけど…
解答では、\(f(x)\) の係数が大事だから、あえて定積分だけでなく係数ごと文字でおいて計算を楽にするってゆー理系で常套のテクニックを使っています。
ま~こーいったテクニック使わなくても、偶・奇関数の性質が使えるので、計算量はそこまで多くありません。
解答


講評
プロ講師は毎年の京大理系数学を解いてれば、文系数学は流し見でいい。



ってゆー法律あるの知ってた?(笑)
去年は理系と共通してない問題も全部解いたはずなんですが、全然解いたときの感想を思い出せないんですよね…
大手さんが難化と易化で真っ二つに割れてるし…



でも、僕が2秒で解法浮かばなかったのが1の問2だけ、理系数学と共通の2以外を打ち込みながら解いて2時間くらいで終わったから…
| 解答方式 | 試験時間 | 大問数 | 難易度 |
|---|---|---|---|
| 記述式 | 120分 | 5問 | やや易化 |
じゃないですかね?でも「文系には厳しいな~」って思う問題も多いし、出題幅も広いので、数学力がダイレクトに現れる試験です。



3完はしないと合格は厳しいでしょう。
もうとっくに合格発表は終わってますが…
君の大学受験が最高の結果になることを祈ってます!


- 日本全国どこからでも受講可能!
- 完全個別指導コースあり(オンラインも可)!
- 初回面談・初回授業は完全個別で無料(オンラインも可)!



初回面談は全て私めが個別に対応させて頂きますm(_ _)m
お気軽にお問い合わせください↓
電話番号からのお問い合わせの場合、授業や面接中で対応できない場合は折り返しご連絡させて頂きますので、留守番電話にご用件を残しておいて頂けると助かります(セールス・勧誘のお電話は固くお断り致します)。
頂いたお問い合わせへのリアクション以外で、こちらからご連絡することは一切ありません。安心してお問い合わせください。








